题目内容
已知等差数列
,
的前n项和为
,
,若对于任意的自然数
,都有
则
=
.
【答案】
![]()
【解析】
试题分析:∵等差数列
,
的前n项和为
,
,对于任意的自然数
,都有
,
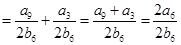
∴![]()
![]()
=
,故答案为
.
考点:等差数列的性质、求和公式
练习册系列答案
相关题目
已知等差数列{an}的前n项和为Sn,若a1
+a2009
+2
=
,且A、B、C三点共线(该直线不过原点),则S2009=( )
| OA |
| OB |
| OC |
| 0 |
| A、2009 | B、2010 |
| C、-2009 | D、-2010 |
已知等差数列{an}的前n项和Sn,其中a1+a5=
S5且a11=20,则S13=( )
| 1 |
| 2 |
| A、60 | B、130 |
| C、160 | D、260 |