题目内容
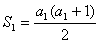
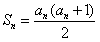
已知数列{an}的各项为正数,前n项和为Sn,且Sn=
,n∈N*,
(1)求证:数列{an}是等差数列;
(2)设bn=
,Tn=b1+b2+…+bn,求Tn。
(1)求证:数列{an}是等差数列;
(2)设bn=
解:(1)
,n∈N*,
n=1时,
,所以a1=1。
由题意得
,
作差可得
,
所以
,
又因为
,
所以
,n≥2,
所以数列{an}是等差数列。
(2)由(1)得
,
所以
,
则Tn=b1+b2+…+bn


。
n=1时,
由题意得
作差可得
所以
又因为
所以
所以数列{an}是等差数列。
(2)由(1)得
所以
则Tn=b1+b2+…+bn
练习册系列答案
相关题目