ÌâÄ¿ÄÚÈÝ
ijÉ̵êÊÔÏúijÖÖÉÌÆ·20Ì죬»ñµÃÈçÏÂÊý¾Ý£º
| ÈÕÏúÊÛÁ¿£¨¼þ£© | 0 | 1 | 2 | 3 |
| ƵÊý | 1 | 5 | 9 | 5 |
ÊÔÏú½áÊøºó£¨¼ÙÉè¸ÃÉÌÆ·µÄÈÕÏúÊÛÁ¿µÄ·Ö²¼¹æÂɲ»±ä£©£¬ÉèijÌ쿪ʼӪҵʱÓиÃÉÌÆ·3¼þ£¬µ±ÌìÓªÒµ½áÊøºó¼ì²é´æ»õ£¬Èô·¢ÏÖ´æ»õÉÙÓÚ2¼þ£¬Ôòµ±Ìì½ø»õ²¹³äÖÁ3¼þ£¬·ñÔò²»½ø»õ£¬½«ÆµÂÊÊÓΪ¸ÅÂÊ¡£
(¢ñ£©Çóµ±ÌìÉÌÆ·²»½ø»õµÄ¸ÅÂÊ£»
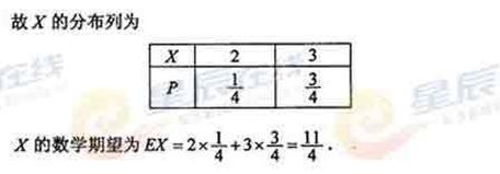
£¨¢ò£©¼ÇXΪµÚ¶þÌ쿪ʼӪҵʱ¸ÃÉÌÆ·µÄ¼þÊý£¬ÇóXµÄ·Ö²¼ÁкÍÊýѧÆÚÍû¡£
![]()
![]()
[À´Ô´:Z|xx|k.Com]
| ÈÕÏúÊÛÁ¿£¨¼þ£© | 0 | 1 | 2 | 3 |
| ƵÊý | 1 | 5 | 9 | 5 |
£¨¢ñ£©Çóµ±ÌìÉÌÆ·²»½ø»õµÄ¸ÅÂÊ£»
£¨¢ò£©¼ÇXΪµÚ¶þÌ쿪ʼӪҵʱ¸ÃÉÌÆ·µÄ¼þÊý£¬ÇóXµÄ·Ö²¼ÁкÍÊýѧÆÚÍû£®
ijÉ̵êÊÔÏúijÖÖÉÌÆ·£¬»ñµÃÈçÏÂÊý¾Ý£º
|
ÈÕÏúÊÛÁ¿£¨¼þ£© |
0 |
1 |
2 |
3 |
|
¸ÅÂÊ |
0.05 |
0.25 |
0.45 |
0.25 |
ÊÔÏú½áÊøºó£¨¼ÙÉè¸ÃÉÌÆ·µÄÈÕÏúÊÛÁ¿µÄ·Ö²¼¹æÂɲ»±ä£©£¬ÉèijÌ쿪ʼӪҵʱÓиÃÉÌÆ·3¼þ£¬µ±ÌìÓªÒµ½áÊøºó¼ì²é´æ»õ£¬Èô·¢ÏÖ´æ»õÉÙÓÚ2¼þ£¬Ôòµ±Ìì½ø»õÔÙ²¹³ä3¼þ£¬·ñÔò²»½ø»õ¡£
£¨¢ñ£©Çóµ±ÌìÉÌÆ·²»½ø»õµÄ¸ÅÂÊ£»
£¨¢ò£©¼ÇXΪµÚ¶þÌ쿪ʼӪҵʱ¸ÃÉÌÆ·µÄ¼þÊý£¬ÇóXµÄ·Ö²¼ÁкÍÊýѧÆÚÍû¡£
ijÉ̵êÊÔÏúijÖÖÉÌÆ·20Ì죬»ñµÃÈçÏÂÊý¾Ý£º
|
ÈÕÏúÊÛÁ¿£¨¼þ£© |
0 |
1 |
2 |
3 |
|
ƵÊý |
1 |
5 |
9 |
5 |
ÊÔÏú½áÊøºó£¨¼ÙÉè¸ÃÉÌÆ·µÄÈÕÏúÊÛÁ¿µÄ·Ö²¼¹æÂɲ»±ä£©£¬ÉèijÌ쿪ʼӪҵʱÓиÃÉÌÆ·3¼þ£¬µ±ÌìÓªÒµ½áÊøºó¼ì²é´æ»õ£¬Èô·¢ÏÖ´æ»õÉÙÓÚ2¼þ£¬Ôòµ±Ìì½ø»õ²¹³äÖÁ3¼þ£¬·ñÔò²»½ø»õ£¬½«ÆµÂÊÊÓΪ¸ÅÂÊ¡£
(¢ñ£©Çóµ±ÌìÉÌÆ·²»½ø»õµÄ¸ÅÂÊ£»
£¨¢ò£©¼ÇXΪµÚ¶þÌ쿪ʼӪҵʱ¸ÃÉÌÆ·µÄ¼þÊý£¬ÇóXµÄ·Ö²¼ÁкÍÊýѧÆÚÍû¡£
£¨±¾Ð¡ÌâÂú·Ö12·Ö£©
ijÉ̵êÊÔÏúijÖÖÉÌÆ·20Ì죬»ñµÃÈçÏÂÊý¾Ý£º
| ÈÕÏúÊÛÁ¿£¨¼þ£© | 0 | 1 | 2 | 3 |
| ƵÊý | 1 | 5 | 9 | 5 |
ÊÔÏú½áÊøºó£¨¼ÙÉè¸ÃÉÌÆ·µÄÈÕÏúÊÛÁ¿µÄ·Ö²¼¹æÂɲ»±ä£©£¬ÉèijÌ쿪ʼӪҵʱÓиÃÉÌÆ·3¼þ£¬µ±ÌìÓªÒµ½áÊøºó¼ì²é´æ»õ£¬Èô·¢ÏÖ´æ»õÉÙÓÚ2¼þ£¬Ôòµ±Ìì½ø»õ²¹³äÖÁ3¼þ£¬·ñÔò²»½ø»õ£¬½«ÆµÂÊÊÓΪ¸ÅÂÊ¡£
£¨¢ñ£©Çóµ±ÌìÉÌÆ·²»½ø»õµÄ¸ÅÂÊ£»
£¨¢ò£©¼ÇXΪµÚ¶þÌ쿪ʼӪҵʱ¸ÃÉÌÆ·µÄ¼þÊý£¬ÇóXµÄ·Ö²¼ÁкÍÊýѧÆÚÐÍ¡£