题目内容
△ABC中,a,b,c分别是角A、B、C的对边,向量(1)求角B的大小;
(2)若a=
【答案】分析:(1)根据
得关于角B的三角函数的方程,解方程即可求出角B;
(2)求出角B后,根据余弦定理可得一个关于c的一元二次方程,解这个方程求解c值.
解答:解:(1)由于
,所以
,所以
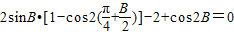
,
即
,
即2sinB+2sin2B-2+1-2sinB2=0,
解得
.
由于0<B<π,所以
或
;(6分)
(2)由a>b,得到A>B,即B=
,
由余弦定理得:b2=a2+c2-2accosB,
代入得:
,
即c2±3c+2=0,
解得c=1或c=2.(12分)
点评:本题考查三角形中三角恒等变换、解三角形.方程思想在三角形问题中的应用极为广泛,根据已知条件可得方程、根据正弦定理、余弦定理、三角形面积公式等都可以得到方程,解三角形问题的实质就是根据有关定理列方程求解未知元素.
(2)求出角B后,根据余弦定理可得一个关于c的一元二次方程,解这个方程求解c值.
解答:解:(1)由于
即
即2sinB+2sin2B-2+1-2sinB2=0,
解得
由于0<B<π,所以
(2)由a>b,得到A>B,即B=
由余弦定理得:b2=a2+c2-2accosB,
代入得:
即c2±3c+2=0,
解得c=1或c=2.(12分)
点评:本题考查三角形中三角恒等变换、解三角形.方程思想在三角形问题中的应用极为广泛,根据已知条件可得方程、根据正弦定理、余弦定理、三角形面积公式等都可以得到方程,解三角形问题的实质就是根据有关定理列方程求解未知元素.
练习册系列答案
相关题目