搜索
题目内容
若
,
,
,则
的值为
试题答案
相关练习册答案
【答案】
【解析】
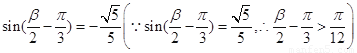
试题分析:因为
,所以
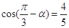
,故
,
,故
.
考点:两角和与差的三角函数恒等变化.
练习册系列答案
课标新卷系列答案
课时练测试卷系列答案
小考冲刺金卷系列答案
初中学业水平考试总复习专项复习卷加全真模拟卷系列答案
培优总复习系列答案
语法精讲精练系列答案
启东专项作业本系列答案
阅读训练与写作提升系列答案
木头马阅读高效训练80篇系列答案
学海导航系列答案
相关题目
设点P分
p
1
p
2
的比为λ,即
P
1
P
=λ
P
P
2
,若|
p
1
p
2
|=4
P
P
2
,则λ的值为
.
当两人提起重量为|G|的旅行包时,夹角为θ,两人用力都为|F|,若|F|=|G|,则θ的值为( )
A.30°
B.60°
C.90°
D.120°
已知直线l的倾斜角为
2π
3
,它与抛物线y
2
=2px(p>0)相交于A,B两点,F为抛物线的焦点,若
AF
=λ
FB
,则λ的值为( )
A.2
B.3
C.
1
2
或2
D.
1
3
或3
设P在直线P
1
P
2
上,且|P
1
P
2
|=5,|PP
1
|=1,若
P
1
P
=λ
P
P
2
,则λ的值为
1
4
或
-
1
6
1
4
或
-
1
6
.
(2010•武汉模拟)已知双曲线
x
2
a
2
-
y
2
3
a
2
=1
的左项点为A,右焦点为F,设P为第一象限内曲线上的任意一点,若∠PFA=λ•∠FAP,则λ的值为
2
2
.
关 闭
试题分类
高中
数学
英语
物理
化学
生物
地理
初中
数学
英语
物理
化学
生物
地理
小学
数学
英语
其他
阅读理解答案
已回答习题
未回答习题
题目汇总
试卷汇总
练习册解析答案