题目内容
(1)用定义证明f(x)在(-1,1)上是增函数;
(2)解不等式f(t-1)+f(t)<0.
【答案】分析:(1)任取(-1,1)上的两实数x1,x2,且x1<x2,利用实数的性质分析f(x1),f(x2)的大小,进而根据函数单调性的定义,可得结论;
(2)根据函数的奇偶性的定义,分析函数的奇偶性,进而结合函数的单调性,对不等式进行变形,可得答案.
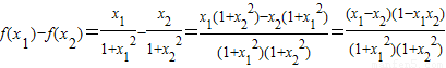
解答:解:(1)设x1,x2为(-1,1)内任意两实数,且x1<x2,则
又因为-1<x1<x2<1,
所以x1-x2<0,1-x1x2>0
所以f(x1)-f(x2)<0,
即f(x1)<f(x2)
所以函数f(x)在(-1,1)上是增函数;-----------------------------------(5分)
(2)由函数f(x)是定义在(-1,1)上的奇函数且f(t-1)+f(t)<0得:
f(t-1)<-f(t)=f(-t)
又由(1)可知函数f(x)是定义在(-1,1)的增函数,
所以有
.---------------------------------(12分)
点评:本题考查的知识点是函数单调性的性质及函数单调性的判断与证明,函数的奇偶性的判断与应用,是函数图象和性质的综合应用,熟练掌握函数单调性和奇偶性的定义是解答的关键.
(2)根据函数的奇偶性的定义,分析函数的奇偶性,进而结合函数的单调性,对不等式进行变形,可得答案.
解答:解:(1)设x1,x2为(-1,1)内任意两实数,且x1<x2,则
又因为-1<x1<x2<1,
所以x1-x2<0,1-x1x2>0
所以f(x1)-f(x2)<0,
即f(x1)<f(x2)
所以函数f(x)在(-1,1)上是增函数;-----------------------------------(5分)
(2)由函数f(x)是定义在(-1,1)上的奇函数且f(t-1)+f(t)<0得:
f(t-1)<-f(t)=f(-t)
又由(1)可知函数f(x)是定义在(-1,1)的增函数,
所以有
点评:本题考查的知识点是函数单调性的性质及函数单调性的判断与证明,函数的奇偶性的判断与应用,是函数图象和性质的综合应用,熟练掌握函数单调性和奇偶性的定义是解答的关键.
练习册系列答案
相关题目