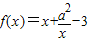
题目内容
已知函数(1)若
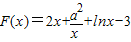
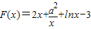
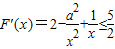
(2)若函数y=F(x)(x∈(0,3])的图象上任意一点处切线的斜率
(3)若函数y=f(x)在[1,2]上有两个零点,求实数a的取值范围.
【答案】分析:先求出
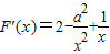
及其导数
(1)
是函数,y=F(x)的极值点,故
由此方程求a即可
(2)函数y=F(x)(x∈(0,3])的图象上任意一点处切线的斜率
恒成立,由导数的几何意义知,此条件可以转化为导函数在x∈(0,3]的最大值小于等于
,
(3)可将函数在[1,2]上有两个零点的问题转化为相应的方程有两个根,分离出参数a,得到a2=-x2+3x在x∈[1,2]上有两个不等实根,由二次函数的性质求得-x2+3x在x∈[1,2]上的值域,根据函数的图象即可得到参数a所满足的条件
,a>0,解之即得所求的实数a的取值范围
解答:解:
,
(2分)
(1)
且a>0,∴a=1(4分)
(2)
对任意的x∈(0,3]恒成立(5分)
∴2a2≥-x2+2x对任意的x∈(0,3]恒成立,
∴2a2≥(-x2+2x)max,而当x=1时,-x2+2x=-(x-1)2+1取最大值为1,
∴2a2≥1,且a>0,∴
(8分)
(3)因为函数
在[1,2]上有两个零点,
所以方程a2=-x2+3x在x∈[1,2]上有两个不等实根(a>0)(10分)
又因为函数
在x∈[1,2]内的值域为
(12分)
由函数图象可得:
,a>0,所以:
,
即实数a的取值范围是
(14分)
点评:本题考点是利用导数研究函数的极值,考查了求导的运算,极值存在的条件,导数的几何意义,以及函数的零点与相应方程的根的关系,二次函数的图象与性质等知识,本题综合性强,转化灵活,能答题者观察转化的能力要求较高.
(1)
(2)函数y=F(x)(x∈(0,3])的图象上任意一点处切线的斜率
(3)可将函数在[1,2]上有两个零点的问题转化为相应的方程有两个根,分离出参数a,得到a2=-x2+3x在x∈[1,2]上有两个不等实根,由二次函数的性质求得-x2+3x在x∈[1,2]上的值域,根据函数的图象即可得到参数a所满足的条件
解答:解:
(1)
(2)
∴2a2≥-x2+2x对任意的x∈(0,3]恒成立,
∴2a2≥(-x2+2x)max,而当x=1时,-x2+2x=-(x-1)2+1取最大值为1,
∴2a2≥1,且a>0,∴
(3)因为函数
所以方程a2=-x2+3x在x∈[1,2]上有两个不等实根(a>0)(10分)
又因为函数
由函数图象可得:
即实数a的取值范围是
点评:本题考点是利用导数研究函数的极值,考查了求导的运算,极值存在的条件,导数的几何意义,以及函数的零点与相应方程的根的关系,二次函数的图象与性质等知识,本题综合性强,转化灵活,能答题者观察转化的能力要求较高.
练习册系列答案
相关题目