题目内容
已知,圆C:x2+y2-8y+12=0,直线l:ax+y+2a=0.(1)当a为何值时,直线l与圆C相切;
(2)当直线l与圆C相交于A、B两点,且
【答案】分析:把圆的方程化为标准方程后,找出圆心坐标与圆的半径r,
(1)当直线l与圆相切时,圆心到直线的距离d等于圆的半径r,利用点到直线的距离公式表示出圆心到直线l的距离d,让d等于圆的半径r,列出关于a的方程,求出方程的解即可得到a的值;
(2)联立圆C和直线l的方程,消去y后,得到关于x的一元二次方程,然后利用韦达定理表示出AB的长度,列出关于a的方程,求出方程的解即可得到a的值.
解答:解:将圆C的方程x2+y2-8y+12=0配方得标准方程为x2+(y-4)2=4,
则此圆的圆心为(0,4),半径为2.
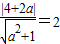
(1)若直线l与圆C相切,则有
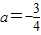
.解得
.
(2)联立方程
并消去y,
得(a2+1)x2+4(a2+2)x+4(a2+4a+3)=0.
设此方程的两根分别为x1、x2,
所以x1+x2=-
,x1x2=
则AB=
=
=2
两边平方并代入解得:a=-7或a=-1,
∴直线l的方程是7x-y+14=0和x-y+2=0.
点评:此题考查学生掌握直线与圆相切时圆心到直线的距离等于圆的半径,灵活运用韦达定理及两点间的距离公式化简求值,是一道综合题.
(1)当直线l与圆相切时,圆心到直线的距离d等于圆的半径r,利用点到直线的距离公式表示出圆心到直线l的距离d,让d等于圆的半径r,列出关于a的方程,求出方程的解即可得到a的值;
(2)联立圆C和直线l的方程,消去y后,得到关于x的一元二次方程,然后利用韦达定理表示出AB的长度,列出关于a的方程,求出方程的解即可得到a的值.
解答:解:将圆C的方程x2+y2-8y+12=0配方得标准方程为x2+(y-4)2=4,
则此圆的圆心为(0,4),半径为2.
(1)若直线l与圆C相切,则有
(2)联立方程
得(a2+1)x2+4(a2+2)x+4(a2+4a+3)=0.
设此方程的两根分别为x1、x2,
所以x1+x2=-
则AB=
两边平方并代入解得:a=-7或a=-1,
∴直线l的方程是7x-y+14=0和x-y+2=0.
点评:此题考查学生掌握直线与圆相切时圆心到直线的距离等于圆的半径,灵活运用韦达定理及两点间的距离公式化简求值,是一道综合题.
练习册系列答案
相关题目