题目内容
已知如下等式:
,
,
则由上述等式可归纳得到…+_______
(本小题满分10分)已知如下等式:,,,当时,试猜想的值,并用数学归纳法给予证明.
(本小题12分)
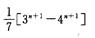
已知如下等式:,,,
当时,试猜想的值,并用数学归纳法给予证明。
已知如下等式:, ,,当时,试猜想的值,并用数学归纳法给予证明。