题目内容
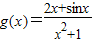
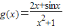
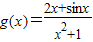
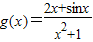
设函数f(x)=
【答案】分析:函数可化为f(x)=
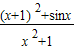
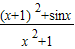
=
,令
,则
为奇函数,从而函数
的最大值与最小值的和为0,由此可得函数f(x)=
的最大值与最小值的和.
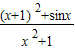
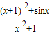
解答:解:函数可化为f(x)=
=
令
,则
为奇函数
∴
的最大值与最小值的和为0
∴函数f(x)=
的最大值与最小值的和为1+1+0=2
即M+m=2
故答案为:2
点评:本题考查函数的最值,考查函数的奇偶性,解题的关键是将函数化简,转化为利用函数的奇偶性解题.
解答:解:函数可化为f(x)=
令
∴
∴函数f(x)=
即M+m=2
故答案为:2
点评:本题考查函数的最值,考查函数的奇偶性,解题的关键是将函数化简,转化为利用函数的奇偶性解题.
练习册系列答案
相关题目