题目内容
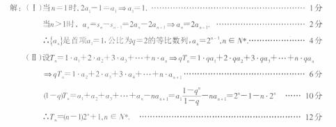
设为数列的前n项和,已知。
(I)求数列的通项公式;
(II)求数列的前n项和
如图,在平面直角坐标系中,已知,,是椭圆上不同的三点,,,在第三象限,线段的中点在直线上.
(1)求椭圆的标准方程;
(2)求点C的坐标;
(3)设动点在椭圆上(异于点,,)且直线PB,PC分别交直线OA于,两点,证明为定值并求出该定值.
如图,PA是圆O的切线,切点为A,PO交圆O于B,C两点,,则=_________.
已知实数,则a,b,c的大小关系为
(A)b<a<c (B)a<b<c (C)c<a<b (D)a<c<b
已知是第二象限的角,且,则___________.
已知圆C的方程为,当圆心C到直线的距离最大时,的值为
A. B. C. D.5
在中,点,的中点为,重心为,则边的长为
A. B. C. D.
已知函数,其中常数.
(Ⅰ)令,求函数的单调递增区间;
(Ⅱ)令,将函数的图象向左平移个单位,再往上平移个单位,得到函数的图象.若函数在区间上有个零点:,求实数的取值范围并求的值.