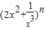
题目内容
已知A.4
B.5
C.9
D.10
【答案】分析:利用二项展开式的通项公式求出二项展开式的通项,令x的指数为0,得到n,r的关系,求出n的最小值.
解答:解:
展开式的通项Tr+1=2n-rCnrx2n-5r其中r=0,1,2,3…n.
令2n-5r=0得到
当r=2时n最小为5
故选C.
点评:本题考查利用二项展开式的通项公式解决二项展开式的特定项问题.考查计算能力.
解答:解:
令2n-5r=0得到
当r=2时n最小为5
故选C.
点评:本题考查利用二项展开式的通项公式解决二项展开式的特定项问题.考查计算能力.
练习册系列答案
相关题目