题目内容
在数列{an}中,a1=1,
,
(1)设
,求数列{bn}的通项公式;
(2)求数列{an}的前n项和Sn。
解:(1)由已知,得
,且
,
即
,
从而
,
,
……
,
于是
,
又
,
故所求的通项公式为
(n∈N*)。
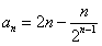
(2)由(1)知,
,
故
,
设
, ①
, ②
①-②,得

,
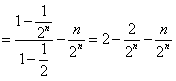
∴
,
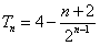
∴
。
即
从而
……
于是
又
故所求的通项公式为
(2)由(1)知,
故
设
①-②,得
∴
∴
练习册系列答案
相关题目