题目内容
已知曲线C:y=-x2+x+2关于点M(a,2a)对称的曲线为Cn,且曲线C与Cn有两个不同的交点A、B,设直线AB的斜率为k,求k的取值范围.
【答案】分析:设出曲线Cn上的任一点,利用对称性找出该点关于M的对称点,代入曲线C后整理即可得到曲线Cn的方程,
两曲线方程联立后由判别式大于0得到a的取值范围,由根与系数关系得到两个交点的横坐标的和与积,把纵坐标用横坐标表示后作差,整理后得到两点连线的斜率(用a表示),根据a的范围可得直线AB的斜率范围.
解答:解:设(x,y)为曲线Cn上的任一点,
(x,y)关于点M(a,2a)的对称点为(x,y),则x=2a-x,y=4a-y
依题意,点(x,y)在曲线C上∴4a-y=-(2a-x)2+2a-x+2
化简整理,得曲线Cn的方程:y=x2-(4a-1)x+4a2+2a-2
由方程组
消去y,整理得:x2-2ax+2a2+a-2=0(*)
设A(x1,y1),B(x2,y2),
则
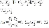
∵
两式相减,得:

因曲线C与Cn交于不同两点,方程*应有两不等实根,∴△=4a2-4(2a2+a-2)>0
即a2+a-2<0
解之,得:-2<a<1,-1<1-2a<5
即AB的斜率k的取值范围是-1<k<5.
点评:本题考查了直线与圆锥曲线的综合题,考查了利用代入法求曲线的方程,训练了点差法求直线的斜率,考查了学生灵活处理和解决问题的能力,是有一定难度题目.
两曲线方程联立后由判别式大于0得到a的取值范围,由根与系数关系得到两个交点的横坐标的和与积,把纵坐标用横坐标表示后作差,整理后得到两点连线的斜率(用a表示),根据a的范围可得直线AB的斜率范围.
解答:解:设(x,y)为曲线Cn上的任一点,
(x,y)关于点M(a,2a)的对称点为(x,y),则x=2a-x,y=4a-y
依题意,点(x,y)在曲线C上∴4a-y=-(2a-x)2+2a-x+2
化简整理,得曲线Cn的方程:y=x2-(4a-1)x+4a2+2a-2
由方程组
消去y,整理得:x2-2ax+2a2+a-2=0(*)
设A(x1,y1),B(x2,y2),
则
∵
两式相减,得:
因曲线C与Cn交于不同两点,方程*应有两不等实根,∴△=4a2-4(2a2+a-2)>0
即a2+a-2<0
解之,得:-2<a<1,-1<1-2a<5
即AB的斜率k的取值范围是-1<k<5.
点评:本题考查了直线与圆锥曲线的综合题,考查了利用代入法求曲线的方程,训练了点差法求直线的斜率,考查了学生灵活处理和解决问题的能力,是有一定难度题目.
练习册系列答案
相关题目
已知曲线C:y=
(x>0)及两点A1(x1,0)和A2(x2,0),其中x2>x1>0.过A1,A2分别作x轴的垂线,交曲线C于B1,B2两点,直线B1B2与x轴交于点A3(x3,0),那么( )
| 1 |
| x |
A、x1,
| ||
B、x1,
| ||
| C、x1,x3,x2成等差数列 | ||
| D、x1,x3,x2成等比数列 |
已知曲线C:y=
x3-x2-4x+1,直线l:x+y+2k-1=0,当x∈[-3,3]时,直线l 恒在曲线C的上方,则实数k的取值范围是( )
| 1 |
| 3 |
A、k>-
| ||
B、k<-
| ||
C、K<
| ||
D、K>
|