题目内容
已知椭圆的中心在坐标原点O,焦点在x轴上,短轴长为2,且两个焦点和短轴的两个端点恰为一个正方形的顶点.过右焦点F与x轴不垂直的直线l交椭圆于P,Q两点.(Ⅰ)求椭圆的标准方程;
(Ⅱ)在线段OF上是否存在点M(m,0),使得以MP,MQ为邻边的平行四边形是菱形?若存在,求出m的取值范围;若不存在,请说明理由.
【答案】分析:(Ⅰ)椭圆方程可设为
,利用两个焦点和短轴的两个端点恰为正方形的顶点,且短轴长为2,即可求得椭圆方程;
(Ⅱ)假设在线段OF上存在点M(m,0)(0<m<1),使得以MP,MQ为邻边的平行四边形是菱形.因为直线与x轴不垂直,所以设直线l的方程为y=k(x-1)(k≠0),与椭圆方程联立,再利用韦达定理.根据以MP,MQ为邻边的平行四边形是菱形等价于
,即
,由此可确定m的取值范围.
解答:解:(Ⅰ)由已知,椭圆方程可设为
.
∵两个焦点和短轴的两个端点恰为正方形的顶点,且短轴长为2,
∴
.
∴所求椭圆方程为
. (4分)
(Ⅱ)假设在线段OF上存在点M(m,0)(0<m<1),使得以MP,MQ为邻边的平行四边形是菱形.
因为直线与x轴不垂直,所以设直线l的方程为y=k(x-1)(k≠0).
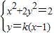
由
可得(1+2k2)x2-4k2x+2k2-2=0.
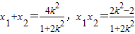
设P(x1,y1),Q(x2,y2),则
∴
.
.其中x2-x1≠0
以MP,MQ为邻边的平行四边形是菱形等价于
,即
∴(x1+x2-2m,y1+y2)•(x2-x1,y2-y1)=0
∴(x1+x2-2m)(x2-x1)+(y1+y2)(y2-y1)=0
∴(x1+x2-2m)+k(y1+y2)=0
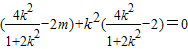
∴
∴2k2-(2+4k2)m=0
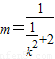
∴
.
∴
∵
∴
. (12分).
点评:本题考查椭圆的标准方程,考查直线与椭圆的位置关系,考查韦达定理的运用,正确构建函数是关键.
(Ⅱ)假设在线段OF上存在点M(m,0)(0<m<1),使得以MP,MQ为邻边的平行四边形是菱形.因为直线与x轴不垂直,所以设直线l的方程为y=k(x-1)(k≠0),与椭圆方程联立,再利用韦达定理.根据以MP,MQ为邻边的平行四边形是菱形等价于
解答:解:(Ⅰ)由已知,椭圆方程可设为
∵两个焦点和短轴的两个端点恰为正方形的顶点,且短轴长为2,
∴
∴所求椭圆方程为
(Ⅱ)假设在线段OF上存在点M(m,0)(0<m<1),使得以MP,MQ为邻边的平行四边形是菱形.
因为直线与x轴不垂直,所以设直线l的方程为y=k(x-1)(k≠0).
由
设P(x1,y1),Q(x2,y2),则
∴
以MP,MQ为邻边的平行四边形是菱形等价于
∴(x1+x2-2m,y1+y2)•(x2-x1,y2-y1)=0
∴(x1+x2-2m)(x2-x1)+(y1+y2)(y2-y1)=0
∴(x1+x2-2m)+k(y1+y2)=0
∴
∴2k2-(2+4k2)m=0
∴
∴
∵
∴
点评:本题考查椭圆的标准方程,考查直线与椭圆的位置关系,考查韦达定理的运用,正确构建函数是关键.
练习册系列答案
相关题目