题目内容

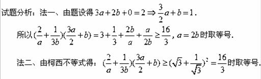
一个篮球运动员投篮一次得3分的概率为,得2分的概率为,不得分的概率为,已知他投篮一次得分的期望是2,则的最小值为           (   )

A.                B.                   C.                D.

练习册系列答案
相关题目

违法和不良信息举报电话:027-86699610 举报邮箱:58377363@163.com

精英家教网