题目内容

试判断函数在[,+∞)上的单调性.

 

【答案】

单调递增

【解析】

试题分析:因为函数.所以由函数的单调性的定义来判断函数的单调性.通过自变量的大小的变化从而得到函数值的的大小变化.本小题关键是的正负的判断.由于.所以可得>0.本小题也可以通过求导数来证明.

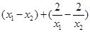
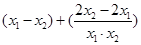
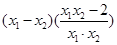
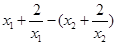
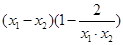
试题解析:设,则有=

 ===

所以,即.所以函数在区间[,+∞)上单调递增.

考点:1.函数的单调性的证明.2.函数值的大小比较.

 

练习册系列答案
相关题目

违法和不良信息举报电话:027-86699610 举报邮箱:58377363@163.com

精英家教网