题目内容
数列1,(1+2),(1+2+22),…,(1+2+22+…+2n-1)…的前n项和为( )A.2n-1
B.n•2n-n
C.2n+1-n
D.2n+1-2-n
【答案】分析:由1+2+22+…+2n-1=
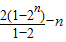
=2n-1可知,数列的前n项和为:(21-1)+(22-1)+(23-1)+…+(2n-1)=21+22+23+…+2n-n=
=2n+1-2-n
解答:解:∵1+2+22+…+2n-1=
=2n-1
∴数列的前n项和为:1+(1+2)+(1+2+22)+…+(1+2+22+…+2n-1)
=(21-1)+(22-1)+(23-1)+…+(2n-1)
=21+22+23+…+2n-n
=
=2n+1-2-n
故选D
点评:本题为数列的求和问题,求出数列的通项公式并应用到数列中是解决问题的关键,属中档题.
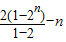
解答:解:∵1+2+22+…+2n-1=
∴数列的前n项和为:1+(1+2)+(1+2+22)+…+(1+2+22+…+2n-1)
=(21-1)+(22-1)+(23-1)+…+(2n-1)
=21+22+23+…+2n-n
=
故选D
点评:本题为数列的求和问题,求出数列的通项公式并应用到数列中是解决问题的关键,属中档题.
练习册系列答案
相关题目