题目内容
已知数列
中,
=
(
为常数);
是
的前
项和,且
是
与
的等差中项。(1)求
;
(2)猜想
的表达式,并用数学归纳法加以证明;
(3)求证以
为坐标的点
都落在同一直线上。
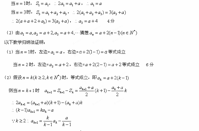
解:(1)由已知得![]()
![]()
将
代入,得![]()
![]()
当
时,等式成立
由(1)、(2)可知,对任意
,等式
都成立。
10分
(3)当
时,
,
又![]()
![]()
故点
都落在同一
直线上.
练习册系列答案
相关题目
题目内容
已知数列
中,
=
(
为常数);
是
的前
项和,且
是
与
的等差中项。(1)求
;
(2)猜想
的表达式,并用数学归纳法加以证明;
(3)求证以
为坐标的点
都落在同一直线上。
解:(1)由已知得![]()
![]()
将
代入,得![]()
![]()
当
时,等式成立
由(1)、(2)可知,对任意
,等式
都成立。
10分
(3)当
时,
,
又![]()
![]()
故点
都落在同一
直线上.