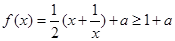
题目内容
已知
,若存在
,使得
,则
的取值范围是______.
【答案】
![]()
【解析】
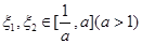
试题分析:存在
,使得
等价于
,根据基本不等式得,
,当
时,取等号,即
;
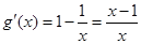
,所以
在
是减函数,在
是增函数,
,而
,
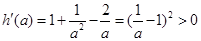
,令
,
,所以
在定义域上是增函数,所以有
,所以
,即
,易知
,
,由
得
,所以
的取值范围是
.
考点:函数的综合应用.
练习册系列答案
相关题目