题目内容
已知函数
(
是常数)在
处的切线方程为
,且
.
(Ⅰ)求常数
的值;
(Ⅱ)若函数
(
)在区间
内不是单调函数,求实数
的取值范围;
(Ⅲ)证明:
.
(Ⅰ)
,
,
;(Ⅱ)实数
的取值范围是
;(Ⅲ)详见解析.
【解析】
试题分析:(Ⅰ)求常数
的值,由函数
(
是常数)在
处的切线方程为
,只需对
求导,让它的导数在
处的值即为切线的斜率,这样能得到
的一个关系式,由
,代入函数中,又得到
的一个关系式,因为三个参数,需再找一个关系式,,注意到
在切线上,可代入切线方程得到
的一个关系式,三式联立方程组即可,解此类题,关键是找
的关系式,有几个参数,需找几个关系式;(Ⅱ)若函数
(
)在区间
内不是单调函数,即它的导函数在区间
内不恒正或恒负,即
在区间
内有极值点,而
,只要
在区间
内有解,从而转化为二次函数根的分布问题,分两种情况:在区间
内有一解,在区间
内有两解,结合二次函数图像,从而求出实数
的取值范围;(Ⅲ)证明:
,注意到
,只需证明
在
上
即可,即
,而
,只需证明
在
上
即可,而
,即
,只需证
在
上为减函数,这很容易证出,此题构思巧妙,考查知识点多,学科知识点融合在一起,的确是一个好题,起到把关题作用.
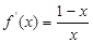
试题解析:(Ⅰ)由题设知,
的定义域为
,
, 因为
在
处的切线方程为
,所以
,且
,即
,且
, 又
,解得
,
,
,
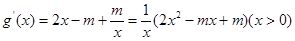
(Ⅱ)由(Ⅰ)知
,
因此,
,
所以
,令
. (ⅰ)当函数
在
内有一个极值时,
在
内有且仅有一个根,即
在
内有且仅有一个根,又因为
,当
,即
时,
在
内有且仅有一个根
,当
时,应有
,即
,解得
,所以有
. (ⅱ)当函数
在
内有两个极值时,
在
内有两个根,即二次函数
在
内有两个不等根,所以
,解得
. 综上,实数
的取值范围是
.
(Ⅲ)因为
,所以当
时,有
,所以
在
上为减函数,因此当
时,
,即
,
即当
时,
,
所以
对一切
都成立,所以
,
,
,
…,
,所以
,
所以
.
考点:函数与导数,导数与函数的单调性、导数与函数的极值,曲线的切线方程,导数与不等式的综合应用,考查学生的基本推理能力,及基本运算能力以及转化与化归的能力.