题目内容
设等比数列
的公比为
,前
项和为
.则“
”是“
” 的条件.
【答案】
充分而不必要
【解析】
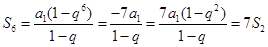
试题分析:当
时,
,当
,可得
或
,所以“
”是“
”的充分而不必要条件.
考点:等比数列的求和、充分条件与必要条件.
练习册系列答案
相关题目
题目内容
设等比数列
的公比为
,前
项和为
.则“
”是“
” 的条件.
充分而不必要
【解析】
试题分析:当
时,
,当
,可得
或
,所以“
”是“
”的充分而不必要条件.
考点:等比数列的求和、充分条件与必要条件.