题目内容
设函数f(x)是定义在(-∞,+∞)上的增函数,是否存在这样的实数a,使得不等式f(1-ax-x2)<f(2-a)对于任意x∈[0,1]都成立?若存在,试求出实数a的取值范围;若不存在,请说明理由.
【答案】分析:解法一:由条件得1-ax-x2<2-a对于x∈[0,1]恒成立,令g(x)=x2+ax-a+1,只需g(x)在[0,1]上的最小值大于0即可,分类讨论,求最值即可求出实数a的取值范围;
解法二:由1-ax-x2<2-a,得(1-x)a<x2+1,对x讨论,再分离参数,求最值,即可求出实数a的取值范围.
解答:解法一:由条件得1-ax-x2<2-a对于x∈[0,1]恒成立
令g(x)=x2+ax-a+1,只需g(x)在[0,1]上的最小值大于0即可.
g(x)=x2+ax-a+1=(x+
)2-
-a+1.
①当-
<0,即a>0时,g(x)min=g(0)=1-a>0,∴a<1,故0<a<1;
②当0≤-
≤1,即-2≤a≤0时,g(x)min=g(-
)=-
-a+1>0,∴-2-2
<a<-2+2
,故-2≤a≤0;
③当-
>1,即a<-2时,g(x)min=g(1)=2>0,满足,故a<-2.
故存在实数a,使得不等式f(1-ax-x2)<f(2-a)对于任意x∈[0,1]都成立,其取值范围是(-∞,1).
解法二:由1-ax-x2<2-a得(1-x)a<x2+1,
∵x∈[0,1],∴1-x≥0,
∴①当x=1时,0<2恒成立,此时a∈R;
②当x∈[0,1)时,a<
恒成立.
求当x∈[0,1)时,函数y=
的最小值.
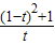
令t=1-x(t∈(0,1]),则y=
=
=t+
-2,
而函数y=t+
-2是(0,1]上的减函数,所以当且仅当t=1,即x=0时,ymin=1.
故要使不等式在[0,1)上恒成立,只需a<1,
由①②得a<1.
故存在实数a,使得不等式f(1-ax-x2)<f(2-a)对于任意x∈[0,1]都成立,其取值范围是(-∞,1).
点评:本题考查恒成立问题,考查分类讨论的数学思想,考查学生分析解决问题的能力,考查分离参数法的运用,属于中档题.
解法二:由1-ax-x2<2-a,得(1-x)a<x2+1,对x讨论,再分离参数,求最值,即可求出实数a的取值范围.
解答:解法一:由条件得1-ax-x2<2-a对于x∈[0,1]恒成立
令g(x)=x2+ax-a+1,只需g(x)在[0,1]上的最小值大于0即可.
g(x)=x2+ax-a+1=(x+
①当-
②当0≤-
③当-
故存在实数a,使得不等式f(1-ax-x2)<f(2-a)对于任意x∈[0,1]都成立,其取值范围是(-∞,1).
解法二:由1-ax-x2<2-a得(1-x)a<x2+1,
∵x∈[0,1],∴1-x≥0,
∴①当x=1时,0<2恒成立,此时a∈R;
②当x∈[0,1)时,a<
求当x∈[0,1)时,函数y=
令t=1-x(t∈(0,1]),则y=
而函数y=t+
故要使不等式在[0,1)上恒成立,只需a<1,
由①②得a<1.
故存在实数a,使得不等式f(1-ax-x2)<f(2-a)对于任意x∈[0,1]都成立,其取值范围是(-∞,1).
点评:本题考查恒成立问题,考查分类讨论的数学思想,考查学生分析解决问题的能力,考查分离参数法的运用,属于中档题.
练习册系列答案
相关题目