搜索
题目内容
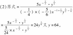
已知
.化简并计算:
试题答案
相关练习册答案
∴原式=24×(2
6
)
=48.
练习册系列答案
学海导航系列答案
小学语文阅读课堂系列答案
配套检测与练习系列答案
天天练习王口算题卡心算速算巧算系列答案
通城学典初中课外文言文阅读系列答案
名师学案英语阅读系列答案
口算题卡加应用题一日一练系列答案
53题霸专题集训系列答案
中考现代文阅读系列答案
语文全真模拟试卷系列答案
相关题目
(1)计算:
2lo
g
3
2-lo
g
3
32
9
-3lo
g
3
1
2
;
(2)已知x=27,y=64.化简并计算:
5
x
-
2
3
y
1
2
(-
1
4
x
-1
y
1
2
)(-
5
6
x
1
3
y
-
1
6
)
.
(1)计算:2log
3
2-log
3
32
9
+log
3
8-25
log53
.
(2)已知x=27,y=64.化简并计算:
5
x
-
2
3
y
1
2
(-
1
4
x
-1
y
1
2
)(-
5
6
x
1
3
y
-
1
6
)
.
(1)计算:2log
3
2-log
3
32
9
+log
3
8-25
log53
.
(2)已知x=27,y=64.化简并计算:
5
x
-
2
3
y
1
2
(-
1
4
x
-1
y
1
2
)(-
5
6
x
1
3
y
-
1
6
)
.
(12分) (1)计算:
(2)已知
=27,
=64.化简并计算
(1)计算:2log
3
2-log
3
+log
3
8-25
log53
.
(2)已知x=27,y=64.化简并计算:
.
关 闭
试题分类
高中
数学
英语
物理
化学
生物
地理
初中
数学
英语
物理
化学
生物
地理
小学
数学
英语
其他
阅读理解答案
已回答习题
未回答习题
题目汇总
试卷汇总
练习册解析答案