题目内容
已知A(1,1)是椭圆(Ⅰ)求椭圆的标准方程;
(Ⅱ)设点C、D是椭圆上两点,直线AC、AD的倾斜角互补,求直线CD的斜率.
【答案】分析:(1)根据椭圆的定义可知|AF1|+|AF2|=4=2a,然后将点A(1,1)代入椭圆方程即可求出a,b的值,从而确定椭圆的标准方程.
(2)先假设出直线AV的方程,然后联立直线与椭圆消去y得到关于x的一元二次方程,进而表示出点C的横坐标,再由AC、AD直线倾斜角互补可得到直线AD的方程,进而可得到D的横坐标,然后将点C、D的横坐标分表代入直线方程可得到其对应的纵坐标,即可得到答案.
解答:解:(1)由椭圆定义知2a=4,所以a=2,
即椭圆方程为
=1
把(1,1)代入得
=1所以b2=
,椭圆方程为:
=1
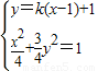
(2)由题意知,AC的倾斜角不为90,故设AC方程为y=k(x-1)十1,
联立
消去y,得(1+3k2)x2-6k(k-1)x+3k2-6k-1=0.
∵点A(1,1)、C在椭圆上,∴xC=
∵AC、AD直线倾斜角互补,∴AD的方程为y=-k(x-l)+1,
同理xD=
又yC=k(xC-1)+1,yD=-k(xD-1)+1,
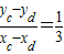
∴yC-yD=k(xC+xD)-2k.
∴
.
点评:本题主要考查椭圆的标准方程和直线与椭圆的综合问题.直线与圆锥曲线的综合问题是高考的重点问题,每年必考,且常以压轴题的形式出现,一定要强化复习.
(2)先假设出直线AV的方程,然后联立直线与椭圆消去y得到关于x的一元二次方程,进而表示出点C的横坐标,再由AC、AD直线倾斜角互补可得到直线AD的方程,进而可得到D的横坐标,然后将点C、D的横坐标分表代入直线方程可得到其对应的纵坐标,即可得到答案.
解答:解:(1)由椭圆定义知2a=4,所以a=2,
即椭圆方程为
把(1,1)代入得
(2)由题意知,AC的倾斜角不为90,故设AC方程为y=k(x-1)十1,
联立
∵点A(1,1)、C在椭圆上,∴xC=
∵AC、AD直线倾斜角互补,∴AD的方程为y=-k(x-l)+1,
同理xD=
又yC=k(xC-1)+1,yD=-k(xD-1)+1,
∴yC-yD=k(xC+xD)-2k.
∴
点评:本题主要考查椭圆的标准方程和直线与椭圆的综合问题.直线与圆锥曲线的综合问题是高考的重点问题,每年必考,且常以压轴题的形式出现,一定要强化复习.
练习册系列答案
相关题目