题目内容
已知椭圆E:(1)求椭圆E的方程;
(2)设直线PF2的倾斜角为α,直线PF1的倾斜角为β,当β-α=
(3)直线BC过坐标原点,与椭圆E相交于B,C,点Q为椭圆E上的一点,若直线QB,QC的斜率kQB,kQC存在且不为0,求证:kQB•kQC为定植.
【答案】分析:(1)求出圆与x轴交点坐标,即可确定椭圆E的方程;
(2)确定tanβ、tanα,利用两角差的正切公式,化简可得结论;
(3)求出直线QB,QC的斜率,利用点在椭圆上,代入作差,即可求得结论.
解答:(1)解:∵圆
与x轴交点坐标为
,
,
∴
,∴b=3,
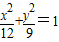
∴椭圆方程是:
.…(4分)
(2)证明:设点P(x,y),因为F1(-
,0),F2(
,0),
所以
=tanβ=
,
=tanα=
,
因为β-α=
,所以tan(β-α)=-
.
因为tan(β-α)=
=
,所以
=-
,
化简得x2+y2-2y=3,所以点P在定圆x2+y2-2y=3上.…(10分)
(3)证明:设B(m,n),Q(x′,y′),则C(-m,-n)
∴kQB•kQC=
=
∵
,
∴两式相减可得
∴
=
∴kQB•kQC=
…(12分)
点评:本题考查椭圆的标准方程,考查两角差的正切公式,考查斜率的计算,属于中档题.
(2)确定tanβ、tanα,利用两角差的正切公式,化简可得结论;
(3)求出直线QB,QC的斜率,利用点在椭圆上,代入作差,即可求得结论.
解答:(1)解:∵圆
∴
∴椭圆方程是:
(2)证明:设点P(x,y),因为F1(-
所以
因为β-α=
因为tan(β-α)=
化简得x2+y2-2y=3,所以点P在定圆x2+y2-2y=3上.…(10分)
(3)证明:设B(m,n),Q(x′,y′),则C(-m,-n)
∴kQB•kQC=
∵
∴两式相减可得
∴
∴kQB•kQC=
点评:本题考查椭圆的标准方程,考查两角差的正切公式,考查斜率的计算,属于中档题.
练习册系列答案
相关题目