题目内容
设a1,d为实数,首项为a1,公差为d的等差数列{an}的前n项和为Sn,满足S5S6+15=0.(Ⅰ)若S5=5,求S6及a1;
(Ⅱ)求d的取值范围.
【答案】分析:(I)根据附加条件,先求得s6再求得a6分别用a1和d表示,再解关于a1和d的方程组.
(II)所求问题是d的范围,所以用“a1,d”法.
解答:解:(Ⅰ)由题意知S6=
=-3,
a6=S6-S5=-8
所以
解得a1=7
所以S6=-3,a1=7;
(Ⅱ)因为S5S6+15=0,
所以(5a1+10d)(6a1+15d)+15=0,
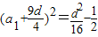
整理得
,即
,
因为
,所以
,
解得d≤-2
或d≥2
故d的取值范围为d≤-2
或d≥2
.
点评:本题主要考查等差数列概念、求和公式通项公式等基础知识,同时考查运算求解能力及分析问题解决问题的能力.
(II)所求问题是d的范围,所以用“a1,d”法.
解答:解:(Ⅰ)由题意知S6=
a6=S6-S5=-8
所以
解得a1=7
所以S6=-3,a1=7;
(Ⅱ)因为S5S6+15=0,
所以(5a1+10d)(6a1+15d)+15=0,
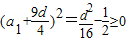
整理得
因为
解得d≤-2
故d的取值范围为d≤-2
点评:本题主要考查等差数列概念、求和公式通项公式等基础知识,同时考查运算求解能力及分析问题解决问题的能力.
练习册系列答案
相关题目