题目内容
已知等差数列前三项为a,4,3a,前n项和为Sn,Sk=2550,
(Ⅰ)求a及k的值;
(Ⅱ)求
。
(Ⅰ)求a及k的值;
(Ⅱ)求
解:(Ⅰ)设该等差数列为{an},
则a1=a,a2=4,a3=3a,Sk=2550,
由已知有a+3a=2×4,解得首项a1=a=2,公差d=a2-a1=2,
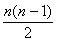
代入公式Sk=k·a1+
·d得k·2+
·2=2550,
整理得k2+k-2550=0,解得k=50,k=-51(舍去),
∴ a=2,k=50;
(Ⅱ)由Sn=n·a1+
·d得Sn=n(n+1),
∴
,
∴
。
则a1=a,a2=4,a3=3a,Sk=2550,
由已知有a+3a=2×4,解得首项a1=a=2,公差d=a2-a1=2,
代入公式Sk=k·a1+
整理得k2+k-2550=0,解得k=50,k=-51(舍去),
∴ a=2,k=50;
(Ⅱ)由Sn=n·a1+
∴
∴
练习册系列答案
相关题目