题目内容
若Sn是公差不为0的等差数列{an}的前n项和,且S1,S2,S4成等比数列.(1)求等比数列S1,S2,S4的公比;
(2)若S2=4,求{an}的通项公式;
(3)设
【答案】分析:(1)利用数列{an}为等差数列,S1,S2,S4成等比数列.可求出首项与公差的关系,即可求得公比;
(2)由S2=4,结合(1)的结论,即可求{an}的通项公式;
(3)利用裂项法求数列{bn}的前n项和,确定Tn<
,从而可得不等式,即可求得使得
对所有n∈N*都成立的最小正整数m.
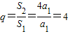
解答:解:(1)∵数列{an}为等差数列,∴S1=a1,S2=2a1+d,S4=4a1+6d,
∵S1,S2,S4成等比数列,
∴S1•S4=S22,
∴
,∴
∵公差d不等于0,∴d=2a1
∴
;
(2)∵S2=4,∴2a1+d=4,又d=2a1,
∴a1=1,d=2,∴an=2n-1.
(3)∵
∴
…
=
要使
对所有n∈N*恒成立,
∴
,∴m≥30,
∵m∈N*,
∴m的最小值为30.
点评:本题考查等差数列与等比数列的结合,考查数列的通项与求和,考查恒成立问题,正确求和是关键.
(2)由S2=4,结合(1)的结论,即可求{an}的通项公式;
(3)利用裂项法求数列{bn}的前n项和,确定Tn<
解答:解:(1)∵数列{an}为等差数列,∴S1=a1,S2=2a1+d,S4=4a1+6d,
∵S1,S2,S4成等比数列,
∴S1•S4=S22,
∴
∵公差d不等于0,∴d=2a1
∴
(2)∵S2=4,∴2a1+d=4,又d=2a1,
∴a1=1,d=2,∴an=2n-1.
(3)∵
∴
要使
∴
∵m∈N*,
∴m的最小值为30.
点评:本题考查等差数列与等比数列的结合,考查数列的通项与求和,考查恒成立问题,正确求和是关键.
练习册系列答案
相关题目