搜索
题目内容
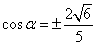
已知
(n∈Z),化简f(α)且当
时,求f(α)的值。
试题答案
相关练习册答案
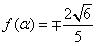
解:
,
由已知
,
∴
。
练习册系列答案
中考必考名著精讲细练系列答案
特训30天衔接教材武汉出版社系列答案
好学生口算心算速算系列答案
书立方地方专版系列答案
经纶学典小升初衔接教材系列答案
金钥匙冲刺卷系列答案
全能金卷小学毕业升学全程模拟试卷系列答案
北斗星名校期末密卷系列答案
生本精练册系列答案
初中毕业升学指导系列答案
相关题目
已知
f(x)=
cos
2
(nπ+x)•
sin
2
(nπ-x)
cos
2
[(2n+1)π-x]
(n∈Z)
,
(1)化简f(x)的表达式;
(2)求
f(
π
2010
)+f(
502π
1005
)
的值.
如图,已知ABCD—A′B′C′D′是平行六面体.
(1)化简
+
+
,并在图中标出其结果;
(2)设M是底面ABCD的中心,N是侧面BCC′B′对角线BC′上的
分点,设
=x
+y
+z
,试求x、y、z的值.
已知
f(x)=
cos
2
(nπ+x)•
sin
2
(nπ-x)
cos
2
[(2n+1)π-x]
(n∈Z)
,
(1)化简f(x)的表达式;
(2)求
f(
π
2010
)+f(
502π
1005
)
的值.
关 闭
试题分类
高中
数学
英语
物理
化学
生物
地理
初中
数学
英语
物理
化学
生物
地理
小学
数学
英语
其他
阅读理解答案
已回答习题
未回答习题
题目汇总
试卷汇总
练习册解析答案