题目内容

已知顶点在原点,焦点在轴上的抛物线被直线截得的弦长为,求抛物线的方程.

 

【答案】

.

【解析】

试题分析:本题考查抛物线的标准方程以及抛物线与直线相交的弦长问题,考查基本的计算能力.先设出抛物线方程,由抛物线与直线相交列出方程组,消参得关于x的方程,得到两根之和、两根之积,将弦长进行转化,把两根之和、两根之积代入,解方程求出参数P,从而得抛物线方程.

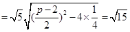
试题解析:设抛物线的方程为,则

或6,  .

考点:1.抛物线的标准方程;2.弦长公式;3.两根之和、两根之积.

 

练习册系列答案
相关题目

违法和不良信息举报电话:027-86699610 举报邮箱:58377363@163.com

精英家教网