题目内容
若二次函数f(x)=x2+bx+c满足f(2)=f(-2),且函数的f(x)的一个零点为1.(Ⅰ) 求函数f(x)的解析式;
(Ⅱ)对任意的
【答案】分析:(Ⅰ)由题意可得函数图象的对称轴为x=0,求得b=0,再由f(1)=0求得c=-1,从而得到函数的解析式.
(Ⅱ)由题意知,得
在
上恒成立.令g(x)=
,求得g(x)的最大值
,从而得到
,由此求得实数m的取值范围.
解答:解:(Ⅰ)∵f(2)=f(-2)且f(1)=0,故函数图象的对称轴为x=0,
∴b=0,c=-1,∴f(x)=x2-1.…(4分)
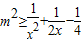
(Ⅱ)由题意知:4m2(x2-1)+(x-1)2-1+4m2-4≥0,在
上恒成立,
整理得
在
上恒成立.…(6分)
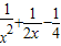
令g(x)=
,
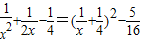
∵
,∴
,…(8分)
当
时,函数g(x)的最大值
,…(10分)
所以
,解得
或
. …(12分)
点评:本题主要考查二次函数的性质,函数的恒成立问题,求二次函数在闭区间上的最值,属于基础题.
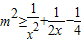
(Ⅱ)由题意知,得
解答:解:(Ⅰ)∵f(2)=f(-2)且f(1)=0,故函数图象的对称轴为x=0,
∴b=0,c=-1,∴f(x)=x2-1.…(4分)
(Ⅱ)由题意知:4m2(x2-1)+(x-1)2-1+4m2-4≥0,在
整理得
令g(x)=
∵
当
所以
点评:本题主要考查二次函数的性质,函数的恒成立问题,求二次函数在闭区间上的最值,属于基础题.
练习册系列答案
相关题目
| A、第四象限 | B、第三象限 | C、第二象限 | D、第一象限 |