题目内容
设Sn为等比数列{an}的前n项和,若
,则
( )
A.
B.
C.
D.
![]()
【答案】
B
【解析】
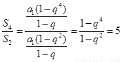
试题分析:∵
,∴
,∴
,∴
.
考点:1.等比数列的通项公式;2.等比数列的前n项和公式.
练习册系列答案
相关题目
设Sn为等比数列{an}的前n项和,已知:5S4=a5+2,5S3=a4+2,则公比q=( )
| A、3 | B、4 | C、5 | D、6 |