题目内容

工厂生产某种产品,次品率与日产量(万件)间的关系为常数,且),已知每生产一件合格产品盈利元,每出现一件次品亏损元.

(1)将日盈利额(万元)表示为日产量(万件)的函数;

(2)为使日盈利额最大,日产量应为多少万件?(注:

 

【答案】

(1)日盈利额(万元)与日产量(万件)的函数关系式为

(2)当日产量为万件时,日盈利额最大.

【解析】

试题分析:(1)根据“日盈利额合格产品盈利次品亏损”的原则,以及对日产量为自变量进行分段求出日盈利额(万元)表示为日产量(万件)的函数;(2)利用导数求出(1)中分段函数在每段定义域上的最值,进而确定日盈利额的最大值以及相应的值.

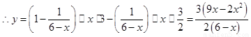
试题解析:(1)当时,                                  2分

时,

                       4分

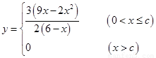
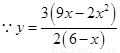
∴日盈利额(万元)与日产量(万件)的函数关系式为

                               5分

(2)当时,日盈利额为0

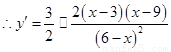
时,

  令(舍去)

∴当时,

上单增

最大值                                 9分

时,上单增,在上单减

最大值                                                         10分

综上:当时,日产量为万件日盈利额最大

时,日产量为3万件时日盈利额最大

考点:1.分段函数;2.函数的最值

 

练习册系列答案
相关题目

违法和不良信息举报电话:027-86699610 举报邮箱:58377363@163.com

精英家教网