ÌâÄ¿ÄÚÈÝ
ÒÑ֪ijµØ½ñÄêÄê³õÓµÓоÓÃñס·¿µÄ×ÜÃæ»ýΪa£¨µ¥Î»£ºm2£©£¬ÆäÖÐÓв¿·Ö¾Éס·¿ÐèÒª²ð³ý¡£µ±µØÓйز¿Ãžö¶¨Ã¿ÄêÒÔµ±ÄêÄê³õס·¿Ãæ»ýµÄ10%½¨ÉèÐÂס·¿£¬Í¬Ê±Ò²²ð³ýÃæ»ýΪb£¨µ¥Î»£ºm2£©µÄ¾Éס·¿¡£
£¨I£©·Ö±ðд³öµÚÒ»ÄêÄ©ºÍµÚ¶þÄêÄ©µÄʵ¼Êס·¿Ãæ»ýµÄ±í´ïʽ£»
£¨¢ò£©Èç¹ûµÚÎåÄêÄ©¸ÃµØµÄס·¿Ãæ»ýÕýºÃ±È½ñÄêÄê³õµÄס·¿Ãæ»ýÔö¼ÓÁË30%£¬ÔòÿÄê²ð³ýµÄ¾Éס·¿Ãæ»ýbÊǶàÉÙ£¿£¨¼ÆËãʱȡ1.15=1.6£©
£¨I£©·Ö±ðд³öµÚÒ»ÄêÄ©ºÍµÚ¶þÄêÄ©µÄʵ¼Êס·¿Ãæ»ýµÄ±í´ïʽ£»
£¨¢ò£©Èç¹ûµÚÎåÄêÄ©¸ÃµØµÄס·¿Ãæ»ýÕýºÃ±È½ñÄêÄê³õµÄס·¿Ãæ»ýÔö¼ÓÁË30%£¬ÔòÿÄê²ð³ýµÄ¾Éס·¿Ãæ»ýbÊǶàÉÙ£¿£¨¼ÆËãʱȡ1.15=1.6£©
½â£º£¨¢ñ£©µÚÒ»ÄêÄ©µÄס·¿Ãæ»ý
µÚ¶þÄêÄ©µÄס·¿Ãæ»ý
£»
£¨¢ò£©µÚ3Ä©µÄס·¿Ãæ»ý

µÚ4ÄêÄ©µÄס·¿Ãæ»ý
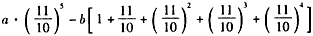
µÚ5ÄêÄ©µÄס·¿Ãæ»ý

ÒÀÌâÒâ¿ÉÖª£¬1.6a-6b=1.3a£¬½âµÃ
ËùÒÔÿÄê²ð³ýµÄ¾É·¿Ãæ»ýΪ
¡£
µÚ¶þÄêÄ©µÄס·¿Ãæ»ý
£¨¢ò£©µÚ3Ä©µÄס·¿Ãæ»ý
µÚ4ÄêÄ©µÄס·¿Ãæ»ý
µÚ5ÄêÄ©µÄס·¿Ãæ»ý
ÒÀÌâÒâ¿ÉÖª£¬1.6a-6b=1.3a£¬½âµÃ
ËùÒÔÿÄê²ð³ýµÄ¾É·¿Ãæ»ýΪ
Á·Ï°²áϵÁдð°¸
Ïà¹ØÌâÄ¿