题目内容

设函数为常数

(1)求的最小值的解析式;

(2)在(1)中,是否存在最小的整数,使得对于任意均成立,若存在,求出 的值;若不存在,请说明理由.

 

【答案】

(1) ;(2).

【解析】

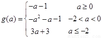
试题分析:(1)根据二次函数在区间上单调递减,在区间上单调递增,又函数的对称轴为直线,且,可分,,进行分类讨论,从而求得函数的最小值的解析式;(2)由(1)知当时,函数为单调递减函数,且最大值为,当时,函数,在上为单调递增,在上单调递减,最大值为,当时,函数为单调递增,最大值为,所以关于自变量的函数的最大值为,又由不等式,对于任意均成立,从而存在最小的整数.

试题解析:(1)由题意,函数图像是开口向上,对称轴的抛物线,

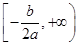
时,上是增函数,时有最小值

时,上是减函数,时有最小值

③当时,上是不单调,时有最小值              8分

(2)存在, 由题知是增函数,在是减函数

时,

恒成立

为整数,的最小值为                  14分

考点:二次函数单调性、最值.

 

练习册系列答案
相关题目

违法和不良信息举报电话:027-86699610 举报邮箱:58377363@163.com

精英家教网