题目内容
(几何证明选讲)如图所示,AC和AB分别是圆O的切线,B、C 为切点,且OC=3,AB=4,延长OA到D点,则△ABD的面积是 .
【答案】分析:利用勾股定理求出AO,可得AD的值,由直角三角形相似得
,求出h 值,代入△ABD的面积公式进行运算.
解答:解:由题意得 AO=
=
=5,AD=5+3=8,设D到AB的距离等于h,
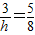
由直角三角形相似得
,
,h=
.
故△ABD的面积等于
=
,
故答案为:
.
点评:本题考查直线和圆相切的性质,相似三角形的性质,求出D到AB的距离等于h是解题的关键.
解答:解:由题意得 AO=
由直角三角形相似得
故△ABD的面积等于
故答案为:
点评:本题考查直线和圆相切的性质,相似三角形的性质,求出D到AB的距离等于h是解题的关键.
练习册系列答案
相关题目