题目内容
各项都是正数的等比数列{an}的公比q≠1,且a3,a5,a6成等差数列,则
【答案】分析:由等比数列的第3,5及6项成等差数列,根据等差数列的性质得到第5项的2倍等于第3项加上第6项,然后利用等比数列的通项公式化简后,得到关于q的方程,根据q不等于1且各项为正,求出方程的解即可得到满足题意q的值,进而把所求的式子也利用等比数列的通项公式化简后,得到关于q的式子,把q的值代入即可求出值.
解答:解:由a3、a5、a6成等差数列,得到2a5=a3+a6,
所以2a1q4=a1q2+a1q5,即2q2=1+q3,
可化为:(q-1)(q2-q-1)=0,又q≠1,
∴q2-q-1=0,解得:q=
或q=
,
因为等比数列{an}的各项都是正数,
所以q=
(不合题意,舍去),
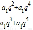
所以
=
=
=
=
.
故答案为:
.
点评:此题考查学生灵活运用等差数列的性质及等比数列的性质化简求值,灵活运用等比数列的通项公式化简求值,是一道基础题.
解答:解:由a3、a5、a6成等差数列,得到2a5=a3+a6,
所以2a1q4=a1q2+a1q5,即2q2=1+q3,
可化为:(q-1)(q2-q-1)=0,又q≠1,
∴q2-q-1=0,解得:q=
因为等比数列{an}的各项都是正数,
所以q=
所以
故答案为:
点评:此题考查学生灵活运用等差数列的性质及等比数列的性质化简求值,灵活运用等比数列的通项公式化简求值,是一道基础题.
练习册系列答案
相关题目
设Sn是各项都是正数的等比数列{an} 的前n项和,若
≤Sn+1,则公比q的取值范围是( )
| Sn+Sn+2 |
| 2 |
| A、q>0 |
| B、0<q≤1 |
| C、0<q<1 |
| D、0<q<1或q>1 |