搜索
题目内容
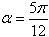
已知
,
,求2sin
2
α+tanα-cotα-1的值。
试题答案
相关练习册答案
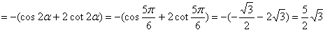
解:由
得
又
所以
于是
。
练习册系列答案
单元期中期末试卷系列答案
导学教程高中新课标系列答案
过关检测同步活页试卷系列答案
交大之星课后练系列答案
名师导航好卷100分系列答案
培优名卷系列答案
上海达标卷好题好卷系列答案
小学课时特训系列答案
1加1轻巧夺冠小专家课时练练通系列答案
校缘自助课堂系列答案
相关题目
已知函数
f(x)=2si
n
2
(
π
4
+x)-
3
cos2x
,
x∈[
π
4
,
π
2
]
.
(Ⅰ)求f(x)的最大值和最小值;
(Ⅱ)若不等式|f(x)-m|<2在
x∈[
π
4
,
π
2
]
上恒成立,求实数m的取值范围.
已知函数
f(x)=2si
n
2
(
π
4
+x)-
3
cos2x,x∈R
.
(1)求f(x)的最小正周期;
(2)求使f(x)≥0成立的x的取值集合;
(3)若不等式|f(x)-m|<2在
x∈[
π
4
,
π
2
]
上恒成立,求实数m的取值范围.
已知函数
f(x)=2si
n
2
(
π
4
+x)-
3
cos2x-1(x∈R)
(1)求
f(
π
8
)
的值;
(2)若函数h(x)=f(x+t)的图象关于点
(-
π
6
,0)
对称,且t∈(0,π),求t的值.
已知tanα=2求下列代数式的值:
(1)
2
sin
2
α-3
cos
2
α
4
sin
2
α-9
cos
2
α
(2)3sin
2
α-sinαcosα+1.
关 闭
试题分类
高中
数学
英语
物理
化学
生物
地理
初中
数学
英语
物理
化学
生物
地理
小学
数学
英语
其他
阅读理解答案
已回答习题
未回答习题
题目汇总
试卷汇总
练习册解析答案