题目内容
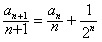
在数列{an}中,a1=1,an+1=(1+
)an+
,
(Ⅰ)设
,求数列{bn}的通项公式;
(Ⅱ)求数列{an}的前n项和Sn。
(Ⅰ)设
(Ⅱ)求数列{an}的前n项和Sn。
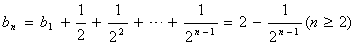
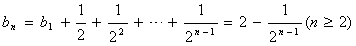
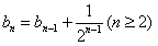
解:(Ⅰ)由已知得b1=a1=1,且
,
即
,从而
,
……
,
于是
,
又b1=1,
故所求的通项公式
。
(Ⅱ)由(Ⅰ)知,
,
,
令
,则
,
于是
,
又
,
所以
。
即
……
于是
又b1=1,
故所求的通项公式
(Ⅱ)由(Ⅰ)知,
令
于是
又
所以
练习册系列答案
相关题目