题目内容
数列{an}首项a1=1,前n项和Sn满足等式2tSn-(2t+1)Sn-1=2t(常数t>0,n=2,3,4…)(1)求证:{an}为等比数列;
(2)设数列{an}的公比为f(t),作数列{bn}使
(3)设cn=nbn,求数列{cn}的前n项和Tn.
【答案】分析:(1)由2tSn-(2t+1)Sn-1=2t,得2tSn+1-(2t+1)Sn=2t,两式相减可得n≥2时的递推式,注意验证
是否适合;
(2)由(1)可知f(t),由题意可得数列{bn}的递推式,根据递推式可判断其为等比数列,根据等比数列通项公式可得其通项;
(3)表示出cn,然后利用错位相减法可求得Tn.
解答:(1)证明:由2tSn-(2t+1)Sn-1=2t,得2tSn+1-(2t+1)Sn=2t,
两式相减得2t(Sn+1-Sn)-(2t+1)(Sn-Sn-1)=0,
故n≥2时,2tan+1-(2t+1)an=0,
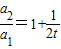
从而
,
又2tS2-(2t+1)S1=2t,即2t(a1+a2)-(2t+1)=2t,而a1=1.
从而
,故
,
∴对任意n∈N*,
为常数,即{an}为等比数列;
(2)解:
,
,
又b1=1.故{bn}为等比数列,通项公式为
;
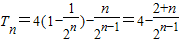
(3)解:
,
,
两边同乘以
,得
,
两式相减得
,
∴
.
点评:本题考查等比数列的通项公式、错位相减法对数列求和,考查学生综合运用知识解决问题的能力.
(2)由(1)可知f(t),由题意可得数列{bn}的递推式,根据递推式可判断其为等比数列,根据等比数列通项公式可得其通项;
(3)表示出cn,然后利用错位相减法可求得Tn.
解答:(1)证明:由2tSn-(2t+1)Sn-1=2t,得2tSn+1-(2t+1)Sn=2t,
两式相减得2t(Sn+1-Sn)-(2t+1)(Sn-Sn-1)=0,
故n≥2时,2tan+1-(2t+1)an=0,
从而
又2tS2-(2t+1)S1=2t,即2t(a1+a2)-(2t+1)=2t,而a1=1.
从而
∴对任意n∈N*,
(2)解:
又b1=1.故{bn}为等比数列,通项公式为
(3)解:
两边同乘以
两式相减得
∴
点评:本题考查等比数列的通项公式、错位相减法对数列求和,考查学生综合运用知识解决问题的能力.
练习册系列答案
相关题目