题目内容

中,

(1)求角B的大小;

(2)求的取值范围.

 

【答案】

(1) ;(2) .

【解析】

试题分析:(1)由正弦定理实现边角互化,再利用两角和与差的正余弦公式化简为,再求角的值;(2)二倍角公式降幂扩角,两角差余弦公式展开,同时注意隐含条件,即可化为一角一函数,再结合求其值域.求解时一定借助函数图象找其最低点与最高点的纵坐标.

试题解析:(1)由已知得:

 

                                 5分

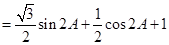
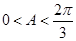
(2)由(1)得:,故+

  ∴

所以的取值范围是.            12分

考点:1.正余弦定理;2.三角函数值域;3.二倍角公式与两角和与差的正余弦公式.

 

练习册系列答案
相关题目

违法和不良信息举报电话:027-86699610 举报邮箱:58377363@163.com

精英家教网