题目内容
等比数列
中,
(1)求数列
的通项公式;
(2)若
分别是等差数列
的第3项和第5项,求数列
的通项公式及前n项和
.
(2)若
解:设数列
的公比为
,
∴
∴
=2,
∴
(2)由(1)得
,
∴
设
的公差为d, ∴
∴
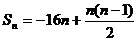
∴
∴
×12=
∴
∴
∴
(2)由(1)得
∴
设
∴
∴
∴
练习册系列答案
相关题目