题目内容
已知a∈R,函数
。
(1)求f(x)的单调区间;
(2)证明:当0≤x≤1时,f(x)+
>0。
(1)求f(x)的单调区间;
(2)证明:当0≤x≤1时,f(x)+
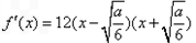
解:(1)由题意得
,当
时,
恒成立,
此时
的单调递增区间为![]()
当
时,
,
此时函数
的单调递增区间为
.
(2)由于
,当
时,![]()
当
时,![]()
设
,则![]()
则有:![]()
所以![]()
当
时,![]()
故
。
练习册系列答案
相关题目
题目内容
解:(1)由题意得
,当
时,
恒成立,
此时
的单调递增区间为![]()
当
时,
,
此时函数
的单调递增区间为
.
(2)由于
,当
时,![]()
当
时,![]()
设
,则![]()
则有:![]()
所以![]()
当
时,![]()
故
。