题目内容

若命题:∈R,-2ax+a≤0”为假命题,则的最小值是__________.

 

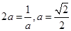
【答案】

       

【解析】

试题分析:若命题:∈R,-2ax+a≤0”为假命题,说明命题:,为真命题,即,所以,当且仅当时等号成立.

考点:全称命题特称命题、基本不等式.

 

练习册系列答案
相关题目

违法和不良信息举报电话:027-86699610 举报邮箱:58377363@163.com

精英家教网