题目内容
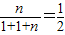
袋子中放有大小和形状相同的小球若干,其中标号为0的小球1个,标号为1的小球1个,标号为2 的小球n个,已知从袋子随机抽取1个小球,取到标号为2的小球的概率是(Ⅰ)求n的值;
(Ⅱ)从袋子中不放回地随机抽取2个球,记第一次取出的小球标号为a,第二次取出的小球标号为b.
①记“a+b=2”为事件A,求事件A的概率;
②在区间[0,2]内任取2个实数x,y,求事件“x2+y2>(a-b)2恒成立”的概率.
【答案】分析:(1)根据从袋子随机抽取1个小球,取到标号为2的小球的概率是
,可求n的值;
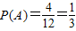
(2)①从袋子中不放回地随机抽取2个球,共有基本事件12个,其中“a+b=2”为事件A的基本事件有4个,故可求概率;
②记“x2+y2>(a-b)2恒成立”为事件B,则事件B等价于“x2+y2>4恒成立,(x,y)可以看成平面中的点,确定全部结果所构成的区域,事件B构成的区域,即可求得结论.
解答:解:(1)由题意,根据从袋子随机抽取1个小球,取到标号为2的小球的概率是
,可得
∴n=2
(2)①从袋子中不放回地随机抽取2个球,共有基本事件12个,其中“a+b=2”为事件A的基本事件有4个
∴
②记“x2+y2>(a-b)2恒成立”为事件B,则事件B等价于“x2+y2>4恒成立,(x,y)可以看成平面中的点,则全部结果所构成的区域为Ω={(x,y)|0≤x≤2,0≤y≤2,x,y∈R},而事件B构成的区域B={(x,y)|x2+y2>4,(x,y)∈Ω}
∴
点评:本题考查等可能事件的概率,考查几何概型,解题的关键是确定其测度,属于中档题.
(2)①从袋子中不放回地随机抽取2个球,共有基本事件12个,其中“a+b=2”为事件A的基本事件有4个,故可求概率;
②记“x2+y2>(a-b)2恒成立”为事件B,则事件B等价于“x2+y2>4恒成立,(x,y)可以看成平面中的点,确定全部结果所构成的区域,事件B构成的区域,即可求得结论.
解答:解:(1)由题意,根据从袋子随机抽取1个小球,取到标号为2的小球的概率是
∴n=2
(2)①从袋子中不放回地随机抽取2个球,共有基本事件12个,其中“a+b=2”为事件A的基本事件有4个
∴
②记“x2+y2>(a-b)2恒成立”为事件B,则事件B等价于“x2+y2>4恒成立,(x,y)可以看成平面中的点,则全部结果所构成的区域为Ω={(x,y)|0≤x≤2,0≤y≤2,x,y∈R},而事件B构成的区域B={(x,y)|x2+y2>4,(x,y)∈Ω}
∴
点评:本题考查等可能事件的概率,考查几何概型,解题的关键是确定其测度,属于中档题.
练习册系列答案
相关题目