题目内容
在△ABC中,sin(C-A)=1,sinB=
。
(1)求sinA;
(2)设AC=
,求S△ABC。
(1)求sinA;
(2)设AC=
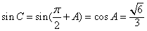
解:(1)∵
,
∴
∵
∴
∴
∴
∴
∴
∴
;
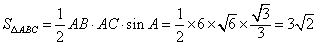
(2)由(1)知,A为锐角
∴

由正弦定理得

。
∴
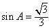
∵
∴
∴
∴
∴
∴
∴
(2)由(1)知,A为锐角
∴
由正弦定理得
练习册系列答案
相关题目
在△ABC中,“sin(A-B)cosB+cos(A-B)sinB≥1”是“△ABC是直角三角形”的( )
| A、充分不必要条件 | B、必要不充分条件 | C、充分必要条件 | D、既不充分也不必要条件 |