题目内容
设函数![]()
,其中
,
为正整数,
、
、
均为常数,曲线
在
处的切线方程为
.
(1)求
、
、
的值;
(2)求函数
的最大值;
(3)证明:对任意的
都有
.(
为自然对数的底)
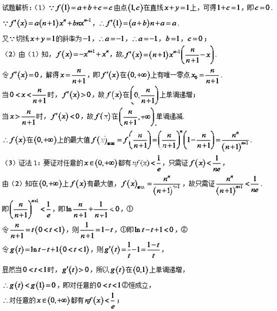
![]()
在区间内成立,再令
,得到
,最终得到
,再结合(2)中的结论得到
.
![]()
证法2:令
,则
.
当
时,
,故
在
上单调递减;
而当
时,
,故
在
上单调递增.
在
上有最小值,
.
,即
.
令
,得
,即
,所以
,即
.
由(2)知,
,故所证不等式成立.
考点:1.利用导数求切线方程;2.利用导数求函数的最值;3.函数不等式
练习册系列答案
相关题目
某单位
名员工参加“社区低碳你我他”活动.他们的年龄在
岁至
岁之间.按年龄分组:第1组
,第
组
,第3组
,第
组
,第
组
,得到的频率分布直方图如图5所示.下表是年龄的频率分布表.
![]()
![]()
| 区间 |
|
|
|
|
|
| 人数 |
|
|
|
(1)求正整数
、
、
的值;
(2)现要从年龄较小的第
、
、
组中用分层抽样的方法抽取
人,则年龄在第
、
、
组的人数分别
是多少?
(3)在(2)的条件下,从这
人中随机抽取
人参加社区宣传交流活动,求恰有
人在第
组的概率.