题目内容
已知函数f(logax)=(1)求函数f(x)的解析式,并判断其奇偶性和单调性;
(2)对于函数f(x),当x∈(-1,1)时,f(1-m)+f(1-m2)<0,求实数m的取值范围;
(3)当x∈(-∞,2)时,f(x)-6的值恒为负数,求函数a的取值范围.
【答案】分析:(1)根据对数式与相应指数式的关系,由函数f(logax)=
,将括号中对应的对数式化为x后,解析式中x要化为ax,求出解析式后,可根据奇偶性的定义及导数法,求出函数的奇偶性和单调性;
(2)根据(1)中函数的性质,及x∈(-1,1)可将不等式f(1-m)+f(1-m2)<0,化为-1<1-m<1-m2<1,进而得到实数m的取值范围;
(3)由当x∈(-∞,2)时,f(x)-6的值恒为负数,根据函数的单调性可得f(2)-6≤0整理可得a的取值范围.
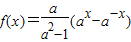
解答:解:(1)由f(logax)=
,得
,…2’
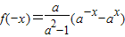
因为定义域为R,
=-f(x)
所以f(x)为奇函数,…4’
因为
,
当0<a<1及a>1时,f′(x)>0,
所以f(x)为R上的单调增函数;…6’
(2)由f(1-m)+f(1-m2)<0,得f(1-m)<-f(1-m2)=f(m2-1),,
又x∈(-1,1),则-1<1-m<1-m2<1,得1<m<
;…10’
(3)因为f(x)为R上的单调增函数,所以当x∈(0,2)时,f(x)-6的值恒为负数,
所以f(x)-6<0恒成立,
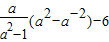
则f(2)-6=
≤0,…12’
整理得a2-6a+1≤0,所以
≤a≤
,
又a>0且a≠1,所以实数a的取值范围是[
,1)∪(1,≤
].…14’
点评:本题是函数奇偶性与单调性的综合应用,特别是后面抽象不等式及恒成立问题,难度较大.
(2)根据(1)中函数的性质,及x∈(-1,1)可将不等式f(1-m)+f(1-m2)<0,化为-1<1-m<1-m2<1,进而得到实数m的取值范围;
(3)由当x∈(-∞,2)时,f(x)-6的值恒为负数,根据函数的单调性可得f(2)-6≤0整理可得a的取值范围.
解答:解:(1)由f(logax)=
因为定义域为R,
所以f(x)为奇函数,…4’
因为
当0<a<1及a>1时,f′(x)>0,
所以f(x)为R上的单调增函数;…6’
(2)由f(1-m)+f(1-m2)<0,得f(1-m)<-f(1-m2)=f(m2-1),,
又x∈(-1,1),则-1<1-m<1-m2<1,得1<m<
(3)因为f(x)为R上的单调增函数,所以当x∈(0,2)时,f(x)-6的值恒为负数,
所以f(x)-6<0恒成立,
则f(2)-6=
整理得a2-6a+1≤0,所以
又a>0且a≠1,所以实数a的取值范围是[
点评:本题是函数奇偶性与单调性的综合应用,特别是后面抽象不等式及恒成立问题,难度较大.
练习册系列答案
相关题目