题目内容
设函数(Ⅰ)当a=1时,求曲线f(x)在x=1处的切线方程;
(Ⅱ)当
(Ⅲ)在(Ⅱ)的条件下,设函数
【答案】分析:确定函数f(x)的定义域,并求导函数
(Ⅰ)当a=1时,f(x)=lnx-x-1,求出f(1)=-2,f'(1)=0,即可得到f(x)在x=1处的切线方程;
(Ⅱ)求导函数,令f'(x)<0,可得函数f(x)的单调递减区间;令f'(x)>0,可得函数f(x)的单调递增区间;
(Ⅲ)当
时,求得函数f(x)在[1,2]上的最小值为f(1)=
;对于?x1∈[1,2],?x2∈[0,1]使f(x1)≥g(x2)成立,等价于g(x)在[0,1]上的最小值不大于f(x)在(0,e]上的最小值,求出
,x∈[0,1]的最小值,即可求得b的取值范围.
解答:解:函数f(x)的定义域为(0,+∞),
(2分)
(Ⅰ)当a=1时,f(x)=lnx-x-1,∴f(1)=-2,
,
∴f'(1)=0,∴f(x)在x=1处的切线方程为y=-2(5分)
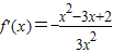
(Ⅱ)
=
(6分)
令f'(x)<0,可得0<x<1,或x>2;令f'(x)>0,可得1<x<2
故当
时,函数f(x)的单调递增区间为(1,2);单调递减区间为(0,1),(2,+∞).(8分)
(Ⅲ)当
时,由(Ⅱ)可知函数f(x)在(1,2)上为增函数,
∴函数f(x)在[1,2]上的最小值为f(1)=
(9分)
若对于?x1∈[1,2],?x2∈[0,1]使f(x1)≥g(x2)成立,等价于g(x)在[0,1]上的最小值不大于f(x)在(0,e]上的最小值
(*) (10分)
又
,x∈[0,1]
①当b<0时,g(x)在[0,1]上为增函数,
与(*)矛盾
②当0≤b≤1时,
,由
及0≤b≤1得,
③当b>1时,g(x)在[0,1]上为减函数,
,
此时b>1(11分)
综上,b的取值范围是
(12分)
点评:本题考查导数知识的运用,考查导数的几何意义,考查函数的单调性,考查恒成立问题,解题的关键是将对于?x1∈[1,2],?x2∈[0,1]使f(x1)≥g(x2)成立,转化为g(x)在[0,1]上的最小值不大于f(x)在(0,e]上的最小值.
(Ⅰ)当a=1时,f(x)=lnx-x-1,求出f(1)=-2,f'(1)=0,即可得到f(x)在x=1处的切线方程;
(Ⅱ)求导函数,令f'(x)<0,可得函数f(x)的单调递减区间;令f'(x)>0,可得函数f(x)的单调递增区间;
(Ⅲ)当
解答:解:函数f(x)的定义域为(0,+∞),
(Ⅰ)当a=1时,f(x)=lnx-x-1,∴f(1)=-2,
∴f'(1)=0,∴f(x)在x=1处的切线方程为y=-2(5分)
(Ⅱ)
令f'(x)<0,可得0<x<1,或x>2;令f'(x)>0,可得1<x<2
故当
(Ⅲ)当
∴函数f(x)在[1,2]上的最小值为f(1)=
若对于?x1∈[1,2],?x2∈[0,1]使f(x1)≥g(x2)成立,等价于g(x)在[0,1]上的最小值不大于f(x)在(0,e]上的最小值
又
①当b<0时,g(x)在[0,1]上为增函数,
②当0≤b≤1时,
③当b>1时,g(x)在[0,1]上为减函数,
此时b>1(11分)
综上,b的取值范围是
点评:本题考查导数知识的运用,考查导数的几何意义,考查函数的单调性,考查恒成立问题,解题的关键是将对于?x1∈[1,2],?x2∈[0,1]使f(x1)≥g(x2)成立,转化为g(x)在[0,1]上的最小值不大于f(x)在(0,e]上的最小值.
练习册系列答案
相关题目